12.2.7 Experimental Tests of Old Steel and Swords

  Testing Old Iron and Steel
While there is a lot of speculation (often erroneously put forward as facts) about the properties of old steels and swords, there are very few experimental data. That is understandable as far as old swords are involved. They are precious antiquities and no museum or collector enjoys to have his treasure destroyed. However, there is no excuse as far as steel, and in particular not-so-old steel is concerned. Whenever an old building comes down (either by demolition or by earthquakes etc.), quite often old steel used for girders, wall anchors. and so on becomes available in quantity. In general, however, the old steel goes to the junk yard and not to a laboratory.
Sometimes we also have large amounts of iron / steel from shipwrecks (e.g. Roman and Svedish steel) or from finding the treasury of the old palace in Khorsabad filled with 160 tons of iron. There are also plenty of Celtic swords, sword parts and in particular double-pyramid bars. Sacrificing some of that iron / steel for tensile tests would not constitute a severe loss.
I'm only aware of one investigations with relevance for the topic here. It is the outstanding (like always) contribution of Vagn Fabricius Buchwald that I already discussed shortly before.
Below is the decisive figure once more, augmented by some more data, and a picture of fractured specimen.
Testing old steel
Yield stress and tensile strength vs. maximum elongation for three kinds of old wrought iron from 1750 - 1800 plus results from more modern iron
Source: Constructed from tables 11.210. - 11-23 plus table 14.7. and other information as given in Buchwald's 2nd book (p 438-441; 535
  For comparison I included the properties of clean modern wrought iron (0% C, 0% P, 0.02 % Si, 0.0o2% Mn) according to Buchwald, and a range of nominal Bessemer, Thomas and Siemens-Martin wrought iron with 0.1 % - 0.25% C from 1897.
Below are pictures of tested specimen showing quite different behavior.
 
Mechanical test old iron
Some fractured specimen with very different elongations.
Immediate brittle fracture in the middle
Source: Constructed from tables 11.210. - 11-23 plus table 14.7. and other information as given in Buchwald's 2nd book (p 438-441; 535
Buchwald obtained his specimen from old (Norwegian) churches. They were made from pig iron in one of the many ways used (and described here). But details do not matter. This actually not-so-old "wrought iron" can be seen as typical for all old iron, including the really old stuff made in a bloomery and not in a blast furnace. It is heterogeneous with regard to the carbon (and possibly phosphorous) content, and it contains inclusions of slag and whatever on top. What we see is:
  • Properties vary widely. We have completely brittle (zero elongation) material and samples coming close to modern wrought iron.
  • Properties may be quite different even for samples cut from the same piece of raw material.
  • The old iron is typically quite harder than modern clean iron. It just is quite dirty, in other words.
  • Bessemer and colleagues did not only make mass production possible, their methods also increased substantially the qualityof the iron produced.
So much for old wrought iron, the major product of all old iron smelters. What about steel? Well - I don't know. I'm not aware of any mechanical tests concerning old steel.
We know that the ancients treated steel as something different from iron, and that they were somehow able to sort raw iron into grades of steel. Making a pattern-welded sword demanded to have phosphorous steel and mild steel (or wrought iron) for making the striped rods typically used for evolving a pattern, and hard steel for the edge. Did they pick the proper pieces from various parts of one bloom (like the Japanese) or did they run dedicated bloomeries for making different kinds of the raw material? I don't know.
Could the old smiths assess the quality of a given steel? How? I could think of possible answers but in essence I just don't know.
All things considered I tend to believe that the quality of old steel was not substantially better than that of wrought iron. Quite possibly smiths payed more attention to quality issues when they forged a sword and not just some girder for some church. One way of doing that is to go for the (expensive) stuff of some special supplier who just had that superior steel.
But nothing helps. As long as you have slag inclusions, maybe some phosphorous, and carbon concentrations varying inside a given batch and from batch to batch, you had steel that was on average just as inferior to homogeneous modern steel than its wrought iron counterpart. That does not preclude - just as in the wrought iron case above - that some pieces were of rather good quality, and that rather good swords have been made in some "schools" here and there, or by some individual smiths who were particularly good (or lucky).
"What about crucible or wootz steel?" It certainly was more homogeneous and free of large slag inclusion and so on. Yes, but if not treated exactly right at every step in the production to a blade, it was simply hard and brittle. I'm not aware of any mechanical tests of old wootz ingots or finished old blades. The tests done by Prof. Zschokke and reported here were, most likely done with 19th century blades, and all those blades tested rather badly in all aspects when compared to modern normal steel blades. And that includes hardness!
There is no reason to assume that much older wootz steel and the blades made from it where substantially better. However, only serious tests will tell.
So far it looks like all of antiquity had to resign itself to be stuck with iron and steel that was inferior to what we have nowadays. Since they did not know how good iron or steel could be, they just lived with it. Whatever they had was still a lot better than bronze, the only contender here. That is evidenced quite convincingly by the observation that bronze weapons disappeared completely after iron and steel technology had reached first maturity around 800 BC.
The thing to do then was to work on perfecting and advancing what you had. On the smelting part, selecting and treating the ore and all the other stuff going into your bloomery became more sophisticated, jus as the design and the running of the bloomery. On the forging part, various composite technologies developed into a high art in some cases. Prime examples are the pattern welded swords of the Celts / Romans / Alemannis and (early) Vikings; the "soft core / hard outside" all-steel swords of the Carolingians and their successors in Europe, and the Japanese nihomotos.
The obvious question now is:
   

How do composite constructions
perform in tests?

     
  Testing Old Swords
  I regret to say that there are very few if any tests of old composite swords that are not Japanese katanas. No big surprise - we have almost no suitable European composite swords. The owners of the very few Celtic / Roman / Alemanni pattern-welded swords that would still be suitable for a bending tests (the Moesgaard Museum in Aarhus; Denmark, comes to mind) would shoot you on sight if you suggest some destructive mechanical tests of their treasures. As far as katanas are concerned, I have actually not found much either but that might be due to my lack of understanding Japanese. One example (a bit confusing, though) of testing Japanese steel / katanas is given in reference 7
Same thing more or less for the Viking type composite sword, take the VLFBERHT's for example.
What we have are tests with newly-made composite structures including some where the steel was made in a (modern) bloomery. Tests of such composite swords or structures (see the references below; all coming with links to the actual papers) provide relatively clear answers
  1. As far as the elastic limit and plastic deformation is concerned, composite swords are worse than single-material swords
  2. As far as fracture is concerned, mostly no advantage or just a small one is found.
That's pretty damning but in line with what I stated based on "theory" in the preceding sub-chapter. But is it true? Well, there is no reason to doubt the experiments. They are just not always fully to the point. Not to mention that there are only a few.
So let's look at the question a bit more carefully. Let's start by giving a quick look at undeniable advantages:
A blade made from homogeneous and hard but brittle steel will have a large yield stress and thus elastic limit but will fracture almost instantaneously after the elastic limit is reached.
A blade made from soft homogeneous steel will yield at a lower stress but then deform plastically quite a lot before it finally fractures. Upon fracture it has absorbed far more energy than the hard steel.
A blade made with soft steel inside and hard steel outside will fracture its outside at a stress lower than the yield stress of the hard steel but higher then the yield stress of the soft steel. That produces cracks on the outside. However, these cracks will not penetrate the inside. Instead the blade bends or deforms otherwise plastically. It can absorb more energy before it finally comes apart than a sword made only from the hard steel but less than a sword only made from the soft steel.
  I have just described in many words the "law of averages" once more. It is nicely illustrated with a picture from publication 6 cited below. The layered composites are right in between the two "parent" steels with a closer affinity to the weaker parent, actually.
     
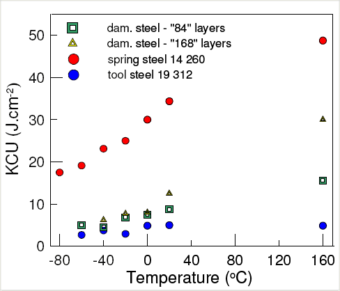
Fracture toughness damascene
Temperature influence on the fracture toughness of modern steels (spring and tool steel) and composites ("dam. steel") made form them with 84 or 168 layers, resp.
Source
The question to ask once more is simple: Is our composite sword as discussed above better or worse than its two counterparts made entirely from one of the two steels?. Can you answer straight away without giving it some thought?
Right.

It depends on what you are going to do with your sword!

This is an important point. What you typically are not going to do, is to subject it to tensile and bending tests. What you are going to do, is to hit things with it and to have it hit by opponents blades. Upon impact in either case, large forces act on small areas producing stresses that will often be above the yield point of the steel at the impact point. You then much prefer local plastic deformation to fracture.
Being left with a sword that has some nicks or dents on its blade but is still in one piece is certainly advantageous to a broken sword in a bloody life-and-death battle. That gives an "edge" to composite swords. However, if you are an exceptionally big guy, you might be better of with a heavy hard steel-only blade that cuts through your opponents lighter composite swords without suffering much damage, being very heavy and thick. And so on.
What about composite swords made from real (old) steel? Composites than make sense, up to a point. Just consider a simple examples. You use two different steels both of which contain "killer" defects somewhere that would induce sudden fracture at low stress. Making a composite averages this locally "very bad" property typically with something less bad. And that is better than very bad. Only if you happen to superimpose the "very bad" areas of both steels at the same place, thing go very wrong. But that is unlikely as long as you have only a few "very bad" parts.
We used (and possibly still used) that kind of principle in the most advanced material of mankind: the gate "oxides" of the transistors in integrated grated circuits. they are extremely thin (just 30 or so atomic layers) and unavoidably have a few defects where they go up in smoke at the working voltage. So make several layers (usually a silicone oxide - silicon nitride - silicon oxide sandwich or "striped" layer. All three layers have defects but with just a little bit of luck never right on top of each other. The composite is able to take the "electric stress", i.e. the applied voltage.
You can now run through all kinds of other properties and get the same result. What's better depends on circumstances. We know that, generally speaking, that there often are circumstances that favor composites. If it wouldn't be so we would not have concrete, consisting of hard stones embedded in soft cement; steel enforced concrete, or CFC and GFC (carbon or glass fiber composites). Nature would not have evolved wood, a supreme composite material. The list goes on.
If you think about this for a minute, hard steel has all the properties you want - except fracture toughness and "lightness". There is nothing you can do about its density (determining the weight of your blade) by making a composite with other kinds of steel because they have the same density, just as there is nothing you can do about Young's modulus either. The high yield strength of hard steel is compromised by using it as part of a composite with softer steel, so the only reason to go for a composite is fracture toughness. Here you might gain - but you pay for it with the other properties.
Simple enough. Well - not quite. You also might gain in appearance (pattern welded swords just look much better), marginally in corrosion resistance (if you employ phosphorous steel), and you still may have the hard part in places where it counts, e.g. at the cutting edge.
Not to forget, you might have the huge advantage that you can actually forge your sword. I have this nagging suspicion that Japanese katanas simply would shatter upon quenching if they wouldn't have the soft core.
     

1) Adam Thiele, Jiøí Hošek, Pawe Kucypera, László Dévényi: "The role of pattern-welding in historical swords – mechanical testing of materials used in their manufacture", Archaeometry, July 2014
Abstract
The pattern-welding is well known technique that was widely employed in manufacture of swords. While the decorative effect of the genuine pattern-welding (employing phosphoric iron) is indisputable, its reinforcing effect is up to date rather unclear. In order to understand this issue better, wrought iron, phosphoric iron, steel and various pattern-welded samples were prepared, mechanically tested and the results obtained were discussed in detail. Both the mechanical testing and the long-term metallographic investigation of medieval swords suggest that pattern-welding does not have any significant positive effect on the mechanical properties of swords and we should consider it a primarily decorative technique.
Ádám Thiele, Jii Hošek: "Mechanical Properties of Medieval Bloomery Iron Materials - Comparative Tensile and Charpy-tests on Bloomery Iron Samples and S235JRG2", Periodica Polytechnica Mechanical Engineering, 59(1) (2015) pp. 35-38,
Abstract
Ductility, toughness and strength of medieval bloomery iron materials were highly important mechanical properties, strongly affected by their microstructure and chemical composition. An attempt was made to characterize the most important mechanical properties of representative samples of main bloomery iron materials extracted in smelting experiments and compare them to the well know reference modern steel of S235JRG2. It was confirmed that notching and the stress concentration effect of slag inclusions strongly decrease all the characteristic values of ductility and toughness of bloomery iron materials. Typical medieval bloomery P-iron is a brittle material with almost zero or very low characteristic values of ductility and toughness but revealed similarly high strength as hardened and tempered bloomery steel.
2) F. Carreno , J. Chao, M. Pozuelo, O.A. Ruano: "Microstructure and fracture properties of an ultrahigh carbon steel–mild steel laminated composite", Scripta Materialia 48 (2003) pp. 1135–1140
Abstract
A seven layer steel based (mild steel and ultrahigh carbon steel, UHCS) laminated composite was processed by roll bonding. Impact properties were improved in comparison with the UHCS. Delamination plays an important role by deflecting cracks, absorbing energy and imposing the nucleation of new cracks in the next material layer.
3) Thomas Birch: "Does pattern-welding make Anglo-Saxon swords stronger?", This paper arises from work conducted in 2006-7 as part of an undergraduate dissertation under the supervision of Dr. Catherine Hills (Department of Archaeology, University of Cambridge).
Abstract
The purpose of pattern-welding, used for the construction of some Anglo-Saxon swords, has yet to be fully resolved. One suggestion is that the technique enhanced the mechanical properties of a blade. Another explanation is that pattern-welding created a desired aesthetic appearance. In order to assess whether the technique affects mechanical properties, this experimental study compared pattern-welded and plain forged blanks in a series of material tests. Specimens were subject to tensile, Charpy and Vickers diamond hardness testing. This was to investigate the relative strength, ductility and toughness of pattern-welding. The results were inconclusive, however the study revealed that the fracture performance of patternwelding may owe to its use.
M. Zgraggen, S. Trüllinger: Influence of the number of layers on the notch toughness of layer Damascene or Welded Damascene steel", · Praktische Metallographie 42(5), (may 2005), p 219-238
Abstract
Layer Damascene samples with, arithmetically, 13, 73, 145 and 973 layers were produced to determine the influence of the number of layers on the notch-impact toughness. The investigation studied the notch-impact strength of ISO-V samples at room temperature, the microstructure, and the fractography of the fracture surfaces. Carbon diffusion between layers and the loss of carbon resulting from the method of manufacture were analysed. It was shown that there is a clear tendency to higher notch-toughness values as the number of layers increases.
J. Wadsworth and D. R. Lesuer: "Ancient and Modern Laminated Composites — From the Great Pyramid of Gizeh to Y2K" This article was submitted to International Metallographic Society 1999 Conference, Cincinnati, OH, October 21 – November 3, 1999 March 14, 2000
Abstract
Laminated metal composites have been cited in antiquity; for example, a steel laminate that may date as far back as 2750 B.C., was found in the Great Pyramid in Gizeh in 1837. A laminated shield containing bronze, tin, and gold layers, is described in detail by Homer. Well-known examples of steel laminates, such as an Adze blade, dating to 400 B.C.can be found in the literature. The Japanese sword is a laminated composite at several different levels and Merovingian blades were composed of laminated steels. Other examples are also available, including composites from China, Thailand, Indonesia, Germany, Britain, Belgium, France, and Persia. The concept of lamination to provide improved properties has also found expression in modern materials. Of particular interest is the development of laminates including high carbon and low carbon layers. These materials have unusual properties that are of engineering interest; they are similar to ancient welded Damascus steels. The manufacture of collectable knives, labeled “welded Damascus”, has also been a focus of contemporary knifemakers. Additionally, in the Former Soviet Union, laminated composite designs have been used in engineering applications. Each of the above areas will be briefly reviewed, and some of the metallurgical principles will be described that underlie improvement in properties by lamination. Where appropriate, links are made between these property improvements and those that may have been present in ancient artifacts.
Excerpts and comment
"...It is to be noted that the tensile ductility of most of the laminated composites is lower than that predicted from the rule of averages when the difference between ductility of the two components is large."
"The dramatic improvement in the impact properties of the laminated composite is a result of notch blunting by extensive delaminations that occur on either side of the initial crack direction in all samples."
"Extensive delamination" means that the layers come apart extensively. Not everybody would agree that this is a "dramatic improvement in the impact properties".
6) Rastislav Mintách, František Nový,*, Otakar Bokùvka, Mária Chalupová: IMPACT STRENGTH AND FAILURE ANALYSIS OF WELDED DAMASCUS STEEL, Materials Engineering - Materiálové inžinierstvo 19 (2012) pp. 22 - 28
Abstract
The aim of this work was the experimental research of damascus steel from point of view of the structural analyze, impact strength and failure analyzes. The damascus steel was produced by method of forged welding from STN 41 4260 spring steel and STN 41 9312 tool steel. The damascus steel consisted of both 84 and 168 layers. The impact strength was experimentally determined for original steels and damascus steels after heat treatment in dependence on temperature in the range from -60 to 160 °C. It has been found that the impact strength of experimental steels decreased with decreasing temperature behind with correlated change of damage mode. In the case of experimental tests performed at high temperature ductile fracture was revealed and with decreasing temperature proportion of cleavage facets increased. Only the STN 41 9312 steel did not show considerable difference in values of the impact strength with changing temperature.
7) Okayasu M, Sakai H and Tanaka T: Mechanical Properties of Samurai Swords (Carbon Steel) Made using a Traditional Steelmaking Technology (tatara). J Material Sci Eng 2015, 4:2
Abstract
The material and mechanical properties of samurai swords (Japanese swords), made using a traditional steelmaking technology (tatara), are investigated experimentally. The quality of these swords appears to be low because of the presence of a large number of inclusions, including oxide- and phosphorus-based structures; however, their mechanical properties are relatively good because of their fine-grained structure and high residual stress. The swords consist of several carbon steels, with a fine microstructural formation being obtained in the sharp edge of the sword (knife) as a result of the forging process. There is high residual compressive stress in the thick edge of the sword (mandrel), caused by bending due to the martensitic phase transition in the sharp edge. The carbon content of the sword varies depending on region: the sharp edge is found to have 0.55% C, which is more than twice the amount in the thick edge. The Vickers hardness and tensile strength in the sharp edge region are about 6 and 1 GPa, respectively, which are about three times higher than the corresponding values in the other regions of the sword. The hardness in the sharp edge region is almost the same as in a conventional carbon steel (Fe-C0.55) produced by presentday steelmaking technology. The tensile strength of the sharp edge of the sword is relatively high, but is slightly lower than that of the conventional Fe-C0.55 steel, despite the fine-grained structure and high residual compressive stress in the sharp edge region. This is caused by the presence of various inclusions in the sword.
     

With frame Back Forward as PDF

© H. Föll (Iron, Steel and Swords script)