| |
This Module is unfinished |
| | |
 |
Silicon is by far the most common semiconductor used for all kinds of products;
it accounts for more than 90% (my estimate) of semiconductor products (measured in kg or $; whatever). |
|
 |
It is also by far the most perfect semiconductor in terms of crystalline perfection,
the cheapest in its field of applications if you consider value for money, and perhaps the best understood. |
|
 |
There are, however, plenty of questions concerning the properties of Si that are not well understood and thus there is plenty of research opportunity and enough room for new
uses of the good old Si. |
 |
Most of the basic properties of Si were already covered in the illustrations
to the preceding chapter. Here only a short summary will be given. |
 |
The intrinsic conductivity
is governed by the band gap which determines the carrier density. The resistivity, in turn, is given by carrier
density times mobility. It should thus be possible to give precise values. |
|
 |
However, upon closer inspection it turns out that not only carrier mobilities are temperature
dependent, but the band gap, and the effective masses, too. That makes precise calculations difficult. We have, e.g.
Eg(300 K)=1,1242 eV
Eg(0 K)=1,1700 eV. |
|
 |
Measurements, while always possible, must allow for non-perfection - there is no such thing
as an perfect intrinsic semiconductor. With lots of precautions, it is possible to grow crystals with a resistivity (at
room temperature) of about 1 000 Wcm - still far lower than the intrinsic value. |
 |
This should motivate a little exercise: |
| |
|
|
Conductivity and Initial Doping |
| | |
 |
As stated above, it is not easy to produce Si with a conductivity close to the intrinsic limit.
|
|
 |
Si wafers commercially available therefore have resistivities r
£ 100 Wcm (at room temperature); if you want something better
than that you have to negotiate with the supplier. |
|
 |
An example for what is on the market can
be found in the link. |
 |
At the other end, large conductivities, obtained by heavy doping, are limited
by the maximum solubility
of the dopants. The term "solubility" refers to the (temperature dependent) equilibrium concentration of
impurity atoms that can be incorporated into a crystal as single atoms. |
|
 |
For concentrations higher than the solubility limit,
the surplus impurity atoms would tend to precipitate - and precipitates of As, B, or P, while possibly
introducing defect levels in the band gap, are not active as dopants. |
|
 |
The highest achievable meaningful doping levels are thus given by the highest solubility of
a doping element (always at a high temperature) - provided it can be kept in solid solution.
This means that precipitation must be suppressed because at room temperature the solubility is usually low. |
|
 |
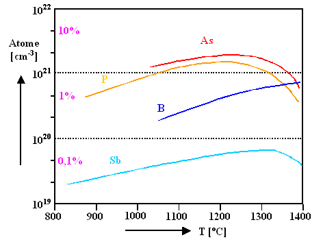
The picture below shows solubility data for the common Si dopants. In all cases the
solubility is rather large (with a maximum between 1200 oC and 1400 oC), and may surpass
the 1% level. |
| |
|
|
 |
If the maximum concentration could be kept in solid solution
while the crystal is grown, the resistivity could be lower than what has been listed
above. However, this is neither feasible nor sensible. Making devices always involves some heating, and if dopants are present
in a high supersaturation, precipitation may start during processing, leading to all kinds of unwanted effects besides the
unavoidable change in conductivity. |
 |
There is, however, no particular need for high doping levels and
a high precision of doping. Making devices always means that local doping is optimized
-e.g. while making a source/drain area - and this requires medium to low doping levels of the substrate which are easily
achieved. |
|
 |
High doping is only important if the wafers are used as substrate for epitaxial layers, and
then the exact doping level is not crucially important. |
 |
The real importance of the solubility curves thus is in specifying how much doping
can be achieved on top of the initial doping by e.g. diffusion or ion-implantation. This will of course depend on the temperature! |
|
 |
Ion implantation done at room temperature thus always needs an annealing
step to "activate" the dopants, i.e. to dissolve them in the Si
up to the solubility limit at the chosen temperature. At the same time, this high temperature process also (hopefully) "anneals"
the lattice defects produced by ion implantation. |
|
 |
There are limits to defect annealing, too: High
doping levels change the average lattice constant - especially the small B ion reduces this parameter. Heavily B-doped
layers thus want to contract, and since this is not possible on top of a solid substrate, mechanical stress is introduced
which may lead to the formation of so-called "misfit dislocations" - the
link shows an example. |
| |
| |
|
Lifetime and Diffusion Length |
| | |
 |
Silicon is an indirect semiconductor, we
expect relatively large lifetimes and diffusion lengths. |
|
 |
This is indeed the case, lifetimes as large as 1 ms can be observed in extreme cases
(This is an exceedingly long time for an electron!) |
|
 |
The corresponding diffusion length approach mm; again a very large distance for an
atomic particle. |
|
 |
Some numerical values linking lifetime
and diffusion length for Silicon can be found via the link |
 |
Lifetime and diffusion length are direct measures of the cleanliness of Si
with respect to "deep level" impurities which act as life time killers as directly evident from the Shockley-Read-Hall theory. |
|
 |
There are many ways to measure the life time. A particularly unconventional approach giving
the most precise data for the diffusion length is the "ELYMAT"
technique, which is discussed in an advanced module. |
|
 |
The ELYMAT and other tools like it have been used extensively in the nineties to "clean
up" Si production and processing lines because even minute traces of contamination show up in a reduced diffusion
length. |
 |
While it is generally important to maintain large diffusion lengths
as a measure of cleanliness (and for some electronic properties) in integrated circuits, it is particularly important for
solar cells. |
|
 |
Any carrier generated by light that recombines in the bulk of the solar cell is lost for the
external current that the solar cell is supposed to produce. Diffusion lengths thus must be larger than the absorption depth
for solar light, otherwise the light generated carriers will not be able to diffuse to the the surface junction and produce
current. What this means in practical (rather relaxed) terms is shown in the graph: |
| |
|
|
 |
For CMOS grade Si the requirements are much more stringent: Allowed levels of
"life time killing" metals are much lower and specified at < 5 · 1010 cm–3;
i.e. at <1ppt (introducing now for the first time the ppqt - "
parts per quatrillion" range). |
|
 |
This is not so much because large lifetimes are so important, but because the metals killing
the lifetime time tend to precipitate - and even extremely low densities (say 1 precipitate /cm2) of extremely
small precipitates (say 10 nm), if contained in a critical part of a device - e.g. at the Si - gate oxide
interface - will kill a transistor and such the whole device. An
example is given in the link. |
| |
| |
|
Lattice Defects |
| | |
 |
Lattice defects in microelectronic Si are easy to deal with:
They are simply not allowed! |
|
 |
While it is indeed possible to avoid "larger" defects like grain boundaries, dislocations
and sizeable precipitates in Si crystals (cf. the relevant chapters of the "Electronic
Materials" and "Defects in Crystals" Hyperscripts),
there is no way to avoid point defects or small agglomerates of point defects, also known as "BMD"s (bulk
microdefects) or "COP"s (crystal
originated particles or pits), or LLS (sometimes also abbreviated LPDs): Localized Light Scattering Defect. |
|
 |
Why? Simply because point defects (vacancies and self interstitials) will be present in thermal
equilibrium during crystal growth - and they cannot disappear at internal sinks like grain boundaries and dislocations because
there aren't any; and the surface as an external sink is simply too far away for all but the surface-near point defects.
The equilibrium point defects thus will be either "frozen-in" during cooling or form agglomerates which constitute
the BMDs. |
|
 |
Usually, these microdefects are few and small - it is not easy to detect them and often they
are below the detection limits of the most advanced methods. Historically, however, they are periodically rediscovered because
devices are becoming steadily smaller and more sensitive and their (always negative) influence on device properties is felt
at some point. |
 |
As a curiosity, it shall be noted in passing that point defect equilibria in Si
are much more complicated than in other elemental crystals and not very well understood up to this day. |
|
 |
In particular, Si seems to be the only elemental crystal so far where self-interstitials
are present in thermal equilibrium in concentrations that are comparable to vacancies (otherwise their concentration is
always much lower). This implies that both vacancies and self-interstitials are involved in the formation of BMDs
and that the diffusion of substitutional impurities (including all dopants) might be more complicated that usual. |
|
 |
Some more details can be found in the "Defects
in Crystals" Hyperscript. |
© H. Föll (Semiconductors - Script)