B1 Project

Project Title: Nanoscale oscillatory network evolution

PI’s: Prof. Dr. Hermann Kohlstedt, PD. Dr. Karlheinz Ochs

Researcher(s): Bakr Al Beattie, Maximiliane Noll

Dataset Name: Wave digital emulation of an enhanced compact model for RRAM devices with multilevel capability

Dataset Descriptions: Simulated data for figures 5 and 8 as presented in 1.

Methodology: Wave flow diagram programmed in MATLAB, refer details in setup.

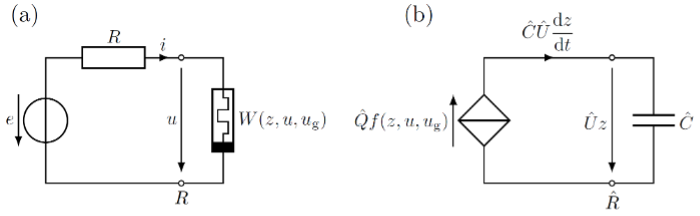
Setup:

(a) Electrical circuit used for measuring the hysteresis of the RRAM device and (b) Integrator circuit used to solve the RRAM device’s state equation.

Wave flow diagram programmed under MATLAB to emulate the dynamics of IHP’s RRAM device.

Parameters:

Physical parameters and constants.

Parameters specific to the RRAM device.

Fitting parameters of the Stanford-PKU model.

Click here to download the dataset.

References:


1

Al Beattie, B., Quesada, E. P. B., Uhlmann, M., Pérez, E., Kahmen, G., Solan, E., & Ochs, K. (2023). Wave Digital Emulation of an Enhanced Compact Model for RRAM Devices with Multilevel Capability. IEEE Transactions on Nanotechnology. doi:10.1109/TNANO.2023.3328821