Transient Current Measurement

Switching at an arbitrary moment from an anodic potential at which silicon oxide was formed to open circuit potential (i.e. a potential at which no current is flowing after waiting a very long time), one will measure a so called transient current. This current occurs as soon as a local oxide has been dissolved due to nonstoiciometrical suboxide at the interface betwee silicon and silicon oxide.

Fig. 14

This transient current contains almost direct information on the oxide thickness destribution of the moment the potential change has been performed. Such transient current measurements were made at several points of an oscillation marked by the blue circles in Fig. 15

Fig. 15

The shape of the transient currents can be understood when assuming a very short time for dissolving the suboxide in comparison with the time dissolving the oxide layer itself. So the transient current peak contains of a number of d-peak like charge flow at time segments where an oxide of corresponding layer thickness has completely been dissolved. This is schematically illustarted in Fig. 16

Fig. 16

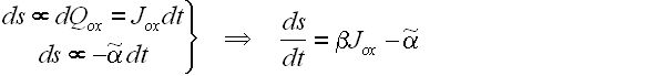
After some more sophisticated averaging procedures of the local continuity equation

(8)

we find an average continuity equation

(9)

According to Eq. (9) we expect a linear relationship between these two values. Plotting them in Fig. 17 we find not one, but two straight lines

Fig. 17

Several reasons can explain the offset between both lines in different phases of the oscillation. Here we just want to point out that our model for the first time allows to get qualitative relations between measurable quantities.


index.gif zurueck.gif