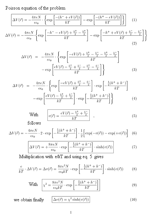
Detailed Derivation of Schottky Defect Equilibrium

Here is the detailed solution of the Poisson equation for Schottky defects:
 
calc


With frame With frame as PDF

go to 2.1.3 Schottky-Defects

© H. Föll (Defects - Script)