Solution to Exercise 2.1-2"Do the Math for the Formation Entropy"

 
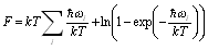
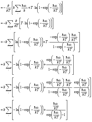
We start with
 
 
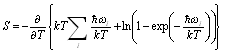
Next we must do the differentiation, i.e. form F/T:
 
 
One can go straight ahead, of course. But here comes a little helpful trick: Multiply skillfully by T/T and re-sort; you get
 
 
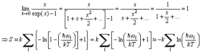
Now we need to resort to approximations
 
First we realize that whenever h ·w/2p << kT, then
 
 
This takes care of the first term.
The second term needs a somewhat more sophisticated approach. Substituting x for h · w/2p · kT, we can use a simple expansion formula, stop after the second term and re-insert the result. This gives
 
 
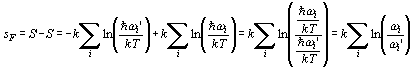
That's as far as one can go. Now use w' for the circle frequencies of the crystal with a vacancy and form SF = S'S
 
 
q.e.d.
 

With frame With frame as PDF

go to Do the Math for the Formation Entropy

© H. Föll (Defects - Script)