Nucleation and Propagation of Misfit Dislocations in Strained Epitaxial Layer Systems

P.B. Hirsch

(Sir Peter)

Department of Materials, University of Oxford



1. Introduction

In 1949 Frank and van der Merwe [1] discussed theoretically the stresses and the energies at the interface of an epitaxial layer grown on a matrix with a slightly different lattice parameter. Their one-dimensional model was extended to two dimensions by Jesser et al.[2]. These studies show that if the lattice mismatch is small, and/or the thickness of the overlayer is not large, the growth of the epilayer is pseudomorphic (commensurate) with the matrix, with the atomic planes on the two sides of the interface being in perfect register with each other. The mismatch is accommodated by an elastic strain in the epilayer giving a biaxial stress of [3]

s = 2m f ·(1 + n)/(1 - n)

(1)

where m is the shear modulus, n Poisson's ratio and f the misfit parameter. Elastic isotropy is assumed. The misfit parameter is given by f = (ae -am)/am, where ae , am are the lattice parameters of the unconstrained epilayer and matrix in the plane parallel to the interface, For the case of GexSi1-x alloys Vegard's law is approximately obeyed [4], i.e. aGeSi = aSi+(aGe - aSi)x, where the a's are the lattice parameters. This means that for GexSi1-x epilayers on an Si(001) surface, f is a linear function of x; since the lattice parameter of Ge (0.5657nm) is greater than that of Si (0.5431nm), f increases with x (f(x) =0.042x), and the epilayer is in compression. Beyond a critical strain and/or thickness it becomes energetically favourable for the misfit to be accommodated by a network of interface dislocations. In view of the importance of strained epilayers or superlattices for device applications [5] and the development of methods of growing them, much research. has been devoted in recent years to the conditions which control the relaxation of elastic strain by the introduction of misfit dislocations, and to the mechanisms by which they are formed. This paper presents a brief review of this field of research; it does not pretend to be exhaustive.

2. Energetic Considerations

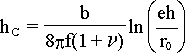
The energy of the system involving a strained epilayer and an array of misfit dislocations is generally discussed for the case of the layer and matrix material being cubic, and the interface parallel to a cube plane. The energy per unit area of a square grid of edge dislocations, Burgers vector b, with dislocation spacing p is given approximately by

(2)

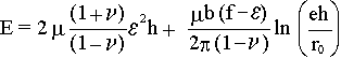
where h is the film thickness, r0 the core radius, and where the factor 2 arises because of the presence of two orthogonal sets of edge dislocations. The elastic strain remaining is given by e = f - b/p. The total energy per unit area E is then given by

(3)

where the first term is the elastic strain energy. For a given thickness the minimum energy occurs for a value e0 given by

(4)

If e0 > f, then the layer is ideally commensurate with the substrate, and the elastic strain is equal to f. If e0 < f then some misfit will be relaxed by dislocations, the spacing being given by (5) with e0 = f - b/p. The critical film thickness, hc , at which it becomes energetically favourable for the first dislocation to be introduced is obtained with e0 = f, i.e.

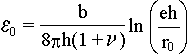
(5)

Two points should be made about this relation. First, hc depends on the core radius r0 (» b), and the uncertain value of this parameter introduces some uncertainty into this relation, particularly for small h/r0. Secondly, hc depends on the assumed dislocation arrangement; for example the misfit might be relieved by dislocations with different b; eqn. (2) shows that the dislocation strain field energy is smaller for edge dislocations of smaller energy, even though for the same relief of strain (f - e), the spacing p will be smaller. Thus it is necessary to take care in making comparisons between theory and experiment. In practice, however, it is generally found that the observed values of hc are larger than those predicted over most of the range of misfits (see for example People and Bean [6] for Ge-Si layers on (100) Si). The reasons for this discrepancy are partly due to insensitivity of the experimental techniques used, and partly kinetic in origin. In order to introduce dislocations, there have to be mechanisms for doing so, and for most practical cases, except these with very large misfits, the strain relief is limited by kinetic considerations.


zurück zu: Kapitel 8.1