Diffusion

 

5. Diffusion in Iron

Self-Diffusion in Iron
If one plots the log(DSD), the logarithm of the self-diffusion coefficient versus the inverse temperature 1/T in an Arrhenus plot, a rather straight line results for most basic metals. Here is a link with an example.
If we do the same thing for iron, we get a surprise:
     
Self-diffusion in iron
Self-diffusion data for iron.
Source: Helmut Mehrer, "Diffusion in Solids", Springer, 2007.
     
  The violet scale on the right gives the diffusion length L = (Dt)½; sort of the the average penetration depth after 1 second in µm or nm. Multiply with 10 if you want the number for for 100 seconds, with 100 for 10.000 seconds (close to 3 hrs), and so on.
Surprise! There is no single straight line! Even the long line marked by the black-white dots is not really straight.
So let's look at the problems we have with diffusion in iron one by one:
The first problem is obvious:
We encounter one magnetic and two structural phase transitions when we heat up a piece of pure iron. We therefore need to consider diffusion in a grand total of four different phases (ferromagnetic a, paramagnetic a, g, d), depending on which temperature we pick.
As far as magnetic stuff is touched upon here, refer to the module about magnetism for the basics about iron being magnetic.
 
Science
Module

Magnetism
The second problem is not so obvious but also clear:
It is impossible, or at least very difficult, to obtain good iron crystals (preferably single crystals) with few defects. Grow a single crystal from an iron melt, and as soon as it undergoes the first phase transformation, all is lost. Same thing at the second transformation. Defects like grain boundaries and dislocations will influence diffusion behavior to some (typically small) extent and we must be aware of this.
The third problem is not a serious problem but nevertheless worthwhile to mention:
If you look at the phase diagram of carbon steel, you realize that already small amounts of carbon change the phase transition temperatures and the kind of phases you get quit a bit. That is easily remedied, of course, by doing experiments only with high-purity iron - but what then is the relevance of the data for mild (carbon) steel?
If we look at the figure, some salient points are readily apparent.
1. The curve in the bcc d-iron region at high temperatures is more or less an extrapolation of the curve for (paramagnetic) ferrite or a-iron. That is what we expect. d-iron and a-iron are both simple bcc crystals, so the diffusion mechanisms including activation energies should be the same.
2. The diffusion coefficient in the fcc g-iron region is substantially smaller than in the other phases. That is as expected. The fcc g phase is a close-packed crystal, where it should be a bit more difficult for the iron atoms or vacancies, respectively, to roam around than in the less densely packed bcc lattice.
We also note that there aren't too many data points for the g phase, in particular at the low-temperature end. That's simply due to the fact that experiments get more difficult at lower temperatures. If atoms / vacancies hardly move not much happens on human time scales and what are you going to measure then?
3. As soon as the Curie temperature is reached, where iron becomes spontaneously ferromagnetic or, in other words, a (second order) phase transition from paramagnetic to ferromagnetic takes place, the data start to deviate substantially from a straight line. That's perhaps not unexpected, but no such effect is found in nickel (Ni) and cobalt (Co; see below), the other two simple metals that also show a magnetic phase transformation.
 
Self diffusion in cobalt (Co)
Self-diffusion data for fcc cobalt (Co) for comparison.
Source: W. Bussmann, Ch. Herzig, W. Rempp, K. Maier; "Isotope effect and self-diffusion in face-centered cubic cobalt", physica status solidi (a) Volume 56, Issue 1, pages 87–97, 1979
     
No influence of the magnetic phase transition on self-diffusion data in cobalt can be seen.In the case of nickel (Ni), it is clear why the magnetic phase transformation does not show up in the data provided: it occurs at a low Curie temperature, below the temperature range used. For cobalt (Co), however, it is not obvious why no effect is seen. Here the Curie temperature is well within the range of the measurements as shown above.
In case you wonder why fcc cobalt was used, knowing perhaps that cobalt is hexagonal at room temperature: the temperature of the phase transition from the fcc phase to the hexagonal phase occurs at 440 oC (824 oF) and is thus outside the temperature range of the measurements.
What's happening? I won't go into details (mostly because I don't know them) but magnetic order in the ferromagnetic phase and vacancy formation / migration interacts in several ways, not easy to calculate. To some extent the effects have opposite signs in the final reckoning (e.g. the formation energy and the entropy increases a bit) and thus tend to cancel each other.
Let's look at some numbers now. What follows is a collection of the numbers that I picked up during writing this hyperscript for the formation and migration energy and pre-exponential factors of the vacancy in the various phases of iron. Note that there is always a scatter in the data. First, because measurements are always difficult, and second because the results are influenced by the defect structure, and in particular the content of carbon or other elements.
     
  a, ferrite
paramagn.
a, ferrite
ferromagn.
g, austenite
ESD
[eV]
2.57 - 2.68
2.50
2,48
2.91 ± 0.04
3.03
3.03
2,90
D0, SD
[m2/s]
(6.8 - 12.3) ·10-4
2.0 ·10-4
1.939 ·10-4
6.·10-4
5.40 ·10-4
0.89 ·10-4
0.356 ·10-4
EF, V
[eV]
1.13 - 1.02 » 1.8  
EM, V
[eV]
1.5
1.2 - 1.3; 1.24
» 1.0  
According to: Heumann , Seeger, Oikawa, Kucera
full references elsewhere in this modules
Sources: Jaroslav Kucera, Karel Stránský: "Diffusion in Iron, Iron Solid Solutions and Steel", Mat. Sci. and Eng. 52, (1982), p. 1 - 38.
     
Impurity Diffusion in Iron and Steel - Interstitial Mechanism
Going systematically, we need to consider
  1. Interstitial impurity atoms diffusing by a direct interstitial mechanism: carbon (C), nitrogen (N) and (perhaps) oxygen (O).
  2. Substitutional impurity atoms diffusing by a vacancy mechanism: the rest.
In case of doubt refresh your memory with this link.
So let's look at the interstitials first. Here is an Arrhenius plot for the diffusion coefficients of carbon (C) and nitrogen (N); once more the diffusion length L for 1 second is indicated.
     
Diffusion of carbon and nitrogen in iron
Carbon (C) and nitrogen (N) diffusion in iron (Fe).
Source: Werkstoffkunde Stahl, Band 1: Grundlagen; P. 82
     
Next, the same kind of diagram from a different source, also including some oxygen data. Figure out yourself if both sets of data are compatible!
The carbon curve is not absolutely straight. That might be due to the magnetic phase transition but personally I don't know if that is the last word on the topic.
     
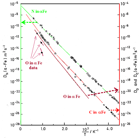
Diffusion of interstitals in iron (Fe)
More interstitial diffusion in iron
Source: Heumann, Th.; "Diffusion in Metallen", Springer Verlag, 1992
     
What we can see is that the diffusion of all three interstitials is roughly the same. At a temperature of 1000 oC (1832 oF) where forging takes place, and at temperatures somewhat below the g ® a transition temperature of 910 oC (1670 oF), in pure iron all three interstitial elements can cover distances of several µm in just 1 second.
Now let's look at some numbers for the interstitials:
 
  C N O
EM
[eV]
0.96
0.88
0.8
0.82
0.96
1.0
D0
[m2/s]
3.94 ·10-7
2.0 ·10-6
4.88 ·10-7
1.4 ·10-6
3.78 · 10-7
Source: Heumann, Seeger (ferromagnetic state)
     
Whichever way one looks at the data, one thing is clear. Any non-uniformity in the interstitial concentration will be "ironed out" during normal forging in a range of several 100 µm or almost millimeter by diffusion.
Provided that the diffusion of carbon in steel is not completely different from that in iron (it isn't, see below), we have a major insight from this:
     
   

Welding layers of hard and soft carbon
steel will not result in a composite
blade with hard and soft layers but
in a rather uniform medium-hard steel.

     
  Welding layers of hard and soft phosphorous steel, however, is a completely different thing in this respect.
OK - we have iron covered, sort of. How about steel?
First we need to consider how all these data change if we look at carbon steel instead of iron. Of course, we need to do this for all possible carbon concentrations and temperatures. Then we need to consider what is going to happen if we alloy the rest of the periodic table one by one. Next, we need to consider the diffusion of carbon and so on if we alloy two elements simultaneously. Since the g ® a transition temperature comes down from 910 oC (1670 oF) to 723 oC (1333 oF) by adding just 0.025 % of carbon, there is a pronounced influence of the carbon concentration on diffusion - even if the diffusion coefficients wouldn't change much - since more of the diffusion now happens in the g phase.
Yes, it does get boring and labor intensive. The first law of applied science starts to make a lot of sense once more.
I will not run through the program outlined above in this module, of course. All I will do is to give you a tiny taste treat of what happens to the diffusion of carbon in carbon steel.
     
Carbon diffusion in steel
Carbon diffusion in carbon steel
Source: Werkstoffkunde Stahl
     
  The figure gives the migration energy EM and pre-exponential factor D0 as a function of carbon concentration for carbon diffusion in austenite. All things considered, the C-interstitials speed up as the carbon concentration increases, since the decrease in migration energy is more effective than the decrease in D0.
You figure out if the concentration in the figures above is weight percent (likely) or whatever; my source doesn't tell. Out of the kindness of my heart I also gave you the migration energy in an eV scale.
     
Impurity Diffusion in Iron and Steel - Vacancy Mechanism
All that remains to do is to go through the data for the remaining 80 elements or so in iron, differentiated for bcc a-iron and fcc g-iron. Next, the influence of the magnetic phase transition needs to be taken into account. Then we need to consider once more how things change if we look at various kinds of steel. If you have a lot of spare time, you are welcome to do this.
All I'm going to do is to show you three figures. Here is the first one. It's kind of very general, just showing the regions where you find diffusion coefficients in a and d iron:
     
Substitutional impurity diffusion in iron
Diffusion in iron - general view.
Source: Adopted from: Eigenschaften und Anwendungen von Stählen, Band 1: Grundlagen; Inst. Eisenhüttenkunde der RWTH Aachen, Hrsg,: W. Dahl, 5. Auflage, 1998.
     
Now let's look at some details:
     
Substitutional element diffusion in bcc iron
Substitutional diffusion in bcc iron - detailed view.
Source: Oikawa; Hiroshi: Review of Lattice Diffusion of Substitutional Impurities in Iron. A Summary Report. Tech. Reports, Tohoku Univ. Vol. 47, No.2 (1982) p. 215
     
Most values obtain for the d and a phase. The lines have been extended through the (shaded) g region (where the values given below obtain) to allow identification of the elements. The curve for self-diffusion of iron in the g phase is given for comparison.
Now the data for the g phase:
     
Substitutional element diffusion in fcc iron
Substitutional diffusion in fcc iron - detailed view.
Source: Oikawa; Hiroshi: Review of Lattice Diffusion of Substitutional Impurities in Iron. A Summary Report. Tech. Reports, Tohoku Univ. Vol. 47, No.2 (1982) p. 215
     
  The curve for self-diffusion of iron in the a and d phase is given for comparison onc more.
Nothing more needs to be said. Just assembling all the data was a major piece of work, not to mention getting them. We may assume that diffusion of all these elements in steel is somewhat different from the values given here, but not dramatically so. However, if you want to be sure you need to do experiments or (very difficult) calculations.
A lot of people think that the "complex" financial products that caused all those crises from 2008 - 2012 (and, I fear, beyond) are so complicated that only financial geniuses can understand them. Can you see me smiling? And we haven't even got close to real steel yet.
     
Conclusion
A lot of work concerning diffusion in iron and steel has been done. A lot of work still needs to be done. Having good numbers is essential for designing new kinds of steel.
The first law of applied science starts to make a lot of sense once more. And there is hope! If you are not too close already to your timely demise, you can rest assured that during your lifetime new designer steels with superior properties will appear on the market. And that will happen because we finally understand diffusion in steel in ever more detail.
     

Back to
  Diffusion
  1. Atomic Mechanisms of Diffusion
2. Random Walk
3. Phenomenological Modelling of Diffusion
4. Experimental Techniques for Measuring Diffusion Parameters
     

With frame With frame as PDF

go to General Remarks to Literature and Sources

go to Books and Other Major Sources

go to Diffusion in Iron

go to Science of Welding Steel

go to 11.3 Pattern Welding 11.3.1 Background to Pattern Welding

go to Magnetism

go to Alloying Elements in Detail

go to Inhomogeneous Deformation

go to TTT Diagrams: 1. The Basic Idea

go to 10.2.3 Smelting Wrought Iron, Steel and Cast Iron

go to Analyzing the Forging of a "Viking" Sword

go to Experimental Techniques for Measuring Diffusion Parameters

go to Phenomenological Modelling of Diffusion

go to Size and Density of Precipitates

go to Overview of Major Steels

go to The Story of Self-Interstitials in Silicon

go to Atomic Mechanisms of Diffusion

go to Random Walk

go to Making Vacancies

go to Segregation at Room Temperature

© H. Föll (Iron, Steel and Swords script)